Tsunami Solitons Emerging from Superconducting Gap
DOI:
https://doi.org/10.51094/jxiv.1474キーワード:
soliton、 superconductivity、 Bogoliubov-de Gennes theory、 commuting differential operators、 Baker-Akhiezer function、 holomorphic bundle、 Akhmediev breather、 rogue waves、 coupled Schr¨odinger-Boussinesq hierarchy、 Burchnall-Chaundy lemma、 Riemann surface抄録
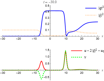
We propose a classical integrable system exhibiting the tsunami-like solitons with rocky-desert-like disordered stationary background. One of the Lax operators describing this system is interpretable as a Bogoliubov-de Gennes Hamiltonian in parity-mixed superconductor. The family of integrable equations is generated from this seed operator by Krichever's method, whose pure $s$-wave limit includes the coupled Schrödinger-Boussinesq hierarchy applied to plasma physics. A linearly unstable finite background with superconducting gap supports the tsunami-soliton solution, where the propagation of the step structure turns back at a certain moment, accompanied with the oscillation on the opposite side. In addition, the equation allows inhomogeneous stationary solutions with arbitrary number of bumps at arbitrary positions, which we coin the KdV rocks. In the Zakharov-Shabat scheme, the tsunami solitons are created from the Bogoliubov quasiparticles in energy gap and the KdV rocks from normal electrons/holes. The unexpected large space of stationary solutions comes from the non-coprime Lax pair and the multi-valued Baker-Akhiezer functions on the Riemann surface, formulated in terms of higher-rank holomorphic bundles by Krichever and Novikov. Furthermore, the concept of isodispersive phases is introduced to characterize quasiperiodic multi-tsunami backgrounds and consider its classification.
利益相反に関する開示
The author has no conflict of interest to declare.ダウンロード *前日までの集計結果を表示します
引用文献
V. E. Zakharov and A. A. Gelash, Nonlinear stage of modulation instability, Phys. Rev. Lett. 111, 054101 (2013).
N. Akhmediev, Waves that Appear From Nowhere: Complex Rogue Wave Structures and Their Elementary Particles, Frontiers in Physics 8 - 2020, 10.3389/fphy.2020.612318 (2021).
B. Guo, L. Ling, and Q. P. Liu, Nonlinear Schr¨odinger equation: Generalized Darboux transformation and rogue wave solutions, Phys. Rev. E 85, 026607 (2012).
E. A. Kuznetsov, Solitons in a parametrically unstable plasma, Sov. Phys. - Dokl. (Engl. Transl.); (United States) 22:9 (1977).
T. Kawata and H. Inoue, Inverse Scattering Method for the Non-linear Evolution Equations under Nonvanishing Conditions, J. Phys. Soc. Jpn. 44, 1722 (1978).
Y.-C. Ma, The Perturbed Plane-Wave Solutions of the Cubic Schr¨odinger Equation, Stud. Appl. Math. 60, 43 (1979).
N. N. Akhmediev and V. I. Korneev, Modulation instability and periodic solutions of the nonlinear Schrodinger equation, Theoretical and Mathematical Physics 69, 1089-1093 (1986).
J. M. Dudley, G. Genty, F. Dias, B. Kibler, and N. Akhmediev, Modulation instability, Akhmediev Breathers and continuous wave supercontinuum generation, Opt. Express 17, 21497 (2009).
D. H. Peregrine, Water waves, nonlinear Schr¨odinger equations and their solutions, The Journal of the Australian Mathematical Society. Series B. Applied Mathematics 25, 16 (1983).
Y. Ohta and J. Yang, Dynamics of rogue waves in the Davey–Stewartson II equation, J. Phys. A: Math. Theor. 46, 105202 (2013).
D. E. Pelinovsky and R. E. White, Localized structures on librational and rotational travelling waves in the sine-gordon equation, Proc. R. Soc. A: Math. Phys. Eng. Sci. 476, 10.1098/rspa.2020.0490 (2020).
G. Mu and Z. Qin, Rogue Waves for the Coupled Schr¨odinger–Boussinesq Equation and the Coupled Higgs Equation, J. Phys. Soc. Jpn. 81, 084001 (2012).
D. S. Agafontsev and V. E. Zakharov, Integrable turbulence and formation of rogue waves, Nonlinearity 28, 2791 (2015).
M. A. Hoefer, M. J. Ablowitz, I. Coddington, E. A. Cornell, P. Engels, and V. Schweikhard, Dispersive and classical shock waves in Bose-Einstein condensates and gas dynamics, Phys. Rev. A 74, 023623 (2006).
N. N. Bogoliubov, A new method in the theory of superconductivity. I, Sov. Phys. JETP 7, 41 (1958).
P. G. de Gennes, Superconductivity of metals and alloys (Westview Press, Boulder, 1999).
D. A. Takahashi, Bogoliubov-de Gennes soliton dynamics in unconventional Fermi superfluids, Phys. Rev. B 93, 024512 (2016).
T. Yoshida, M. Sigrist, and Y. Yanase, Parity-Mixed Superconductivity in Locally Non-centrosymmetric System, J. Phys. Soc. Jpn. 83, 013703 (2014).
T. Mizushima, A. Yamakage, M. Sato, and Y. Tanaka, Dirac-fermion-induced parity mixing in superconducting topological insulators, Phys. Rev. B 90, 184516 (2014).
A. F. Andreev, The thermal conductivity of the intermediate state in superconductors, Sov. Phys. JETP 19, 1228 (1964).
D. A. Takahashi and M. Nitta, On Reflectionless Nature of Self-Consistent Multi-Soliton Solutions in Bogoliubov-de Gennes and Chiral Gross-Neveu Models, J. Low Temp. Phys. 175, 250 (2014).
H. Takayama, Y. R. Lin-Liu, and K. Maki, Continuum model for solitons in polyacetylene, Phys. Rev. B 21, 2388 (1980).
S. A. Brazovskii, S. A. Gordynin, and N. N. Kirova, An exact solution of the Peierls model with an arbitrary number of electrons in the unit cell, JETP Lett. 31, 456 (1980).
S. A. Brazovskii and N. N. Kirova, Excitons, polarons, and bipolarons in conducting polymers, JETP Lett. 33, 4 (1981).
S. A. Brazovskii, N. N. Kirova, and S. I. Matveenko, Peierls effect in conducting polymers, Sov. Phys. JETP 59, 434 (1984).
J. Mertsching and H. J. Fischbeck, The Incommensurate Peierls Phase of the Quasi-One-Dimensional Fr¨ohlich Model with a Nearly Half-Filled Band, Phys. Status Solidi 103, 783 (1981).
Y. Onodera and S. Okuno, Two-Polaron Solution and Its Stability in the Continuum Model of Polyacetylene, J. Phys. Soc. Jpn. 52, 2478 (1983).
S. Okuno and Y. Onodera, Coexistence of a Soliton and a Polaron in Trans-Polyacetylene, J. Phys. Soc. Jpn. 52, 3495 (1983).
S. Brazovskii, I. Dzyaloshinskii, and I. Krichever, Exactly soluble peierls models, Phys. Lett. A 91, 40 (1982).
I. E. Dzyaloshinskii, I. M. Krichever, and J. Chronek, New method of finding dynamic solutions in the Peierls model, Sov. Phys. JETP 68, 1492 (1988).
R. F. Dashen, B. Hasslacher, and A. Neveu, Semiclassical Bound States in an Asymptotically Free Theory, Phys. Rev. D 12, 2443 (1975).
S.-S. Shei, Semiclassical bound states in a model with chiral symmetry, Phys. Rev. D 14, 535 (1976).
J. Feinberg, Marginally stable topologically nontrivial solitons in the Gross-Neveu model, Phys. Lett. B 569, 204 (2003).
K. Machida and H. Nakanishi, Superconductivity under a ferromagnetic molecular field, Phys. Rev. B 30, 122 (1984).
G. Basar and G. V. Dunne, Self-consistent crystalline condensate in chiral Gross-Neveu and Bogoliubov-de Gennes systems, Phys. Rev. Lett. 100, 200404 (2008).
G. Basar and G. V. Dunne, A Twisted Kink Crystal in the Chiral Gross-Neveu model, Phys. Rev. D 78, 065022 (2008).
G. Basar, G. V. Dunne, and M. Thies, Inhomogeneous Condensates in the Thermodynamics of the Chiral NJL(2) model, Phys. Rev. D 79, 105012 (2009).
F. Correa, G. V. Dunne, and M. S. Plyushchay, The Bogoliubov/de Gennes system, the AKNS hierarchy, and nonlinear
quantum mechanical supersymmetry, Annals Phys. 324, 2522 (2009).
D. A. Takahashi, S. Tsuchiya, R. Yoshii, and M. Nitta, Fermionic solutions of chiral Gross-Neveu and Bogoliubov-de
Gennes systems in nonlinear Schr´odinger hierarchy, Phys. Lett. B 718, 632 (2012).
D. A. Takahashi and M. Nitta, Self-Consistent Multiple Complex-Kink Solutions in Bogoliubov-de Gennes and Chiral
Gross-Neveu Systems, Phys. Rev. Lett. 110, 131601 (2013).
G. V. Dunne and M. Thies, Time-Dependent Hartree-Fock Solution of Gross-Neveu Models: Twisted-Kink Constituents of Baryons and Breathers, Phys. Rev. Lett. 111, 121602 (2013).
G. V. Dunne and M. Thies, Full time-dependent Hartree-Fock solution of large N Gross-Neveu models, Phys. Rev. D 89, 025008 (2014).
M. Thies, Non-Abelian twisted kinks in chiral Gross-Neveu model with isospin, Phys. Rev. D 93, 085024 (2016).
J. Tokimoto, S. Tsuchiya, and T. Nikuni, Excitation of Higgs Mode in Superfluid Fermi Gas in BCS-BEC Crossover, J. Phys. Soc. Jpn. 88, 023601 (2019).
T. Mizushima, M. Ichioka, and K. Machida, Imbalanced Superfluid Phase of a Trapped Fermi Gas in the BCS-BEC Crossover Regime, J. Phys. Soc. Jpn. 76, 104006 (2007).
S. Murakami and M. Wadati, Yangian Symmetry of the δ-Function Fermi Gas, J. Phys. Soc. Jpn. 65, 1227 (1996).
M. Takahashi, Thermodynamics of One-Dimensional Solvable Models (Cambridge University Press, Cambridge, 1999).
X.-W. Guan, M. T. Batchelor, and C. Lee, Fermi gases in one dimension: From Bethe ansatz to experiments, Rev. Mod. Phys. 85, 1633 (2013).
J. Y. Lee, X. W. Guan, K. Sakai, and M. T. Batchelor, Thermodynamics, spin-charge separation, and correlation functions of spin-1/2 fermions with repulsive interaction, Phys. Rev. B 85, 085414 (2012).
M. Wadachi and M. Sakagami, Classical Soliton as a Limit of the Quantum Field Theory, J. Phys. Soc. Jpn. 53, 1933 (1984).
M. Wadati, A. Kuniba, and T. Konishi, The Quantum Nonlinear Schr¨odinger Model; Gelfand-Levitan Equation and Classical Soliton, J. Phys. Soc. Jpn. 54, 1710 (1985).
M. Wadati and A. Kuniba, The Quantum Nonlinear Schr¨odinger Model; Conserved Quantities, J. Phys. Soc. Jpn. 55, 76 (1986).
J. Sato, R. Kanamoto, E. Kaminishi, and T. Deguchi, Exact Relaxation Dynamics of a Localized Many-Body State in the 1D Bose Gas, Phys. Rev. Lett. 108, 110401 (2012).
J. Sato, R. Kanamoto, E. Kaminishi, and T. Deguchi, Quantum states of dark solitons in the 1D Bose gas, New Journal of Physics 18, 075008 (2016).
Y. Ishiguro, J. Sato, T. Ezaki, and K. Nishinari, Constructing quantum dark solitons with stable scattering properties, Phys. Rev. Res. 4, L032047 (2022).
A. Imambekov and L. I. Glazman, Universal theory of nonlinear Luttinger liquids, Science 323, 228 (2009).
K. A. Matveev and A. Furusaki, Decay of Fermionic Quasiparticles in One-Dimensional Quantum Liquids, Phys. Rev. Lett. 111, 256401 (2013).
I. M. Krichever, Integration of nonlinear equations by the methods of algebraic geometry, Funct. Anal. Its Appl. 11, 12 (1977).
See ancillary files.
V. G. Makhankov, On stationary solutions of the Schr¨odinger equation with a self-consistent potential satisfying Boussinesq’s equation, Phys. Lett. A 50, 42 (1974).
K. Nishikawa, H. Hojo, K. Mima, and H. Ikezi, Coupled Nonlinear Electron-Plasma and Ion-Acoustic Waves, Phys. Rev. Lett. 33, 148 (1974).
N. Yajima and J. Satsuma, Soliton Solutions in a Diatomic Lattice System, Prog. Theor. Phys. 62, 370 (1979).
Y. Hase and J. Satsuma, An N-Soliton Solution for the Nonlinear Schr¨odinger Equation Coupled to the Boussinesq Equation, J. Phys. Soc. Jpn. 57, 679 (1988).
V. Makhankov, Dynamics of classical solitons (in non-integrable systems), Phys. Rep. 35, 1 (1978).
I. M. Krichever, Two-dimensional algebraic-geometric operators with self-consistent potentials, Funct. Anal. Its Appl. 28, 21 (1994).
R. G. Scott, F. Dalfovo, L. P. Pitaevskii, and S. Stringari, Dynamics of Dark Solitons in a Trapped Superfluid Fermi Gas, Phys. Rev. Lett. 106, 185301 (2011).
Y. Hidaka, K. Kamikado, T. Kanazawa, and T. Noumi, Phonons, pions, and quasi-long-range order in spatially modulated chiral condensates, Phys. Rev. D 92, 034003 (2015).
Y. Kodama and T. Taniuti, Higher Order Approximation in the Reductive Perturbation Method. I. The Weakly Dispersive Sys-
tem, J. Phys. Soc. Jpn. 45, 298 (1978).
M. Funakoshi and M. Oikawa, The Resonant Interaction between a Long Internal Gravity Wave and a Surface Gravity Wave Packet, J. Phys. Soc. Jpn. 52, 1982 (1983).
M. Oikawa, M. Okamura, and M. Funakoshi, Two-Dimensional Resonant Interaction between Long and Short Waves, J. Phys. Soc. Jpn. 58, 4416 (1989).
V. E. Zakharov and A. B. Shabat, A scheme for integrating the nonlinear equations of mathematical physics by the method of
the inverse scattering problem. i, Funct. Anal. Its Appl. 8, 226 (1974).
D. A. Takahashi, On integrable systems and elliptic potentials associated with the quadratic-dispersion Bogoliubov-de Gennes
operator, Reports of Institute for Mathematics and Computer Science, Tsuda University 42, 67 (2021), [written in Japanese].
M. Hamanaka and S.-C. Huang, Multi-soliton dynamics of anti-self-dual gauge fields, Journal of High Energy Physics 2022,
1007/jhep01(2022)039 (2022).
M. Ono, Y. Nishigata, T. Nishio, T. Eguchi, and Y. Hasegawa, Electrostatic Potential Screened by a Two-Dimensional Elec-
tron System: A Real-Space Observation by Scanning-Tunneling Spectroscopy, Phys. Rev. Lett. 96, 016801 (2006).
M. Ono, T. Nishio, T. An, T. Eguchi, and Y. Hasegawa, Observation of the screened potential and the Friedel oscillation by low-temperature scanning tunneling microscopy/spectroscopy, Applied Surface Science 256, 469 (2009).
Y. Kodama and H. Yeh, The KP theory and Mach reflection, J. Fluid Mech. 800, 766 (2016).
K. Maruno, D. Suyama, and A. Nagahara, The interactions of dark line solitons in the Davey-Stewartson II system, RIMS kˆokyˆuroku 2109, 115 (2019).
V. B. Matveev, Darboux transformation and explicit solutions of the Kadomtsev-Petviashvili equation, depending on functional parameters, Lett. Math. Phys. 3, 213 (1979).
T. Tsuchida and M. Wadati, The Coupled Modified Korteweg-de Vries Equations, J. Phys. Soc. Jpn. 67, 1175 (1998).
D. Takahashi, Dataset for figure in the paper ”Tsunami Solitons Emerging from Superconducting Gap” , 10.5281/zenodo.16936981 (2025).
T. Miwa, M. Jimbo, and E. Date, Solitons: Differential Equations, Symmetries, and Infinite Dimensional Algebras (Cambridge University Press, Cambridge, 2000).
S. Tanaka and E. Date, KdV houteisiki (The KdV equation) (Kinokuniya Shoten, Tokyo, 1979) [written in Japanese].
J. L. Burchnall and T. W. Chaundy, Commutative Ordinary Differential Operators, Proc. Lond. Math. Soc. s2-21, 420 (1923).
J. L. Burchnall and T. W. Chaundy, Commutative Ordinary Differential Operators, Proc. R. Soc. Lond. A. 118, 557 (1928).
I. M. Krichever, Commutative rings of ordinary linear differential operators, Funct. Anal. Its Appl. 12, 175 (1978).
F. Gesztesy and H. Holden, Soliton Equations and their Algebro-Geometric Solutions, Cambridge Studies in Advanced Mathematics (Cambridge University Press, 2003).
D. A. Takahashi, Integrable model for density-modulated quantum condensates: Solitons passing through a soliton lattice, Phys. Rev. E 93, 062224 (2016).
B.-F. Feng, L. Ling, and D. A. Takahashi, Multi-breather and high-order rogue waves for the nonlinear Schr¨odinger equation on the elliptic function background, Stud. Appl. Math. 144, 46 (2020).
B. A. Dubrovin, Theta functions and non-linear equations, Russ. Math. Surv. 36, 11 (1981).
E. D. Belokolos, A. I. Bobenko, V. Z. Enol’skii, A. R. Its, and V. B. Matveev, Algebro-Geometric Approach to Nonlinear Integrable Equations (Springer, Berlin, 1994).
I. M. Krichever and S. P. Novikov, Holomorphic bundles over Riemann surfaces and the Kadomtsev–Petviashvili equation. I, Funct. Anal. Its Appl. 12, 276 (1979).
I. M. Krichever and S. P. Novikov, Holomorphic bundles over algebraic curves and non-linear equations, Russ. Math. Surv. 35, 53 (1980).
J. Ieda, M. Uchiyama, and M. Wadati, Inverse scattering method for square matrix nonlinear Schr¨odinger equation under nonvanishing boundary conditions, J. Math. Phys. 48, 013507 (2007).
M. Uchiyama, J. Ieda, and M. Wadati, Dark Solitons in F = 1 Spinor Bose-Einstein Condensate, J. Phys. Soc. Jpn. 75, 064002 (2006).
T.-L. Ho, Spinor Bose Condensates in Optical Traps, Phys. Rev. Lett. 81, 742 (1998).
T. Ohmi and K. Machida, Bose-Einstein Condensation with Internal Degrees of Freedom in Alkali Atom Gases, J. Phys. Soc. Jpn. 67, 1822 (1998).
Y. Kawaguchi, M. Kobayashi, M. Nitta, and M. Ueda, Topological Excitations in Spinor Bose-Einstein Condensates, Prog. Theor. Phys. Suppl. 186, 455 (2010).
M. Nakahara, Geometry, Topology, and Physics, 2nd ed. (IOP Publishing, Bristol, England, 2003).
ダウンロード
公開済
投稿日時: 2025-08-23 12:57:16 UTC
公開日時: 2025-08-26 07:44:38 UTC
バージョン
- 2025-11-27 02:30:42 UTC(4)
- 2025-09-08 02:13:11 UTC(3)
- 2025-08-28 09:07:06 UTC(2)
- 2025-08-26 07:44:38 UTC(1)
改版理由
ライセンス
Copyright(c)2025
Takahashi, Daisuke
この作品は、Creative Commons Attribution-NonCommercial-NoDerivatives 4.0 International Licenseの下でライセンスされています。
